Contoh soal snbt dibutuhkan bagi kita yang akan mengikuti seleksi masuk PTN jalur UTBK-SNBT.
Jika kita akan mengerjakan tryout snbt, maka perlu tahu terlebih dahulu beberapa contoh soalnya.
Perlu diketahui pada ujian SNBT terdapat beberapa mata ujian yang dikelompokan menjadi 2 yaitu Tes Potensi Skolastik (TPS) dan Tes Literasi.
Pada artikel ini, kita akan mengetahui contoh pada masing-masing subtes tersebut. Langsung saja kita ke contoh-contoh soal utbk snbtnya.
Contoh Soal TPS UTBK-SNBT
Bagian pertama adalah contoh soal TPS yang nantinya akan dibagi tiap subtes. Berikut ini contoh soal tps yang akan muncul di UTBK-SNBT.
TPS: Kemampuan Penalaran Umum
Soal 1
(1) Pemerintah berusaha menangani dampak pandemi dengan kebijakan bantuan sosial, bantuan ekonomi dunia usaha, dan fasilitas kesehatan. (2) Seperti semua negara, Indonesia mencari keseimbangan antara pencegahan pandemi dan menjaga aktivitas ekonomi. (3) Saat ini angka penularan menunjukkan peningkatan. (4) Indonesia, di beberapa media asing, masuk negara yang dikhawatirkan akan jadi sumber ledakan pandemi baru. (5) Hal ini antara lain karena cara penanganan pandemi yang sangat kurang (seperti rendahnya angka tes dan lemahnya metode penelusuran) di tengah kepadatan dan besarnya jumlah penduduk.
(6) Dalam kondisi seperti ini, tidak boleh menutup mata pada kemungkinan akan besarnya jumlah orang yang terinfeksi. (7) Dari aspek kesehatan, tindakan pencegahan pandemi memiliki banyak aspek, bukan saja masalah fasilitas kesehatan formal. (8) Pandemi pasti sangat menekan laboratorium dan rumah sakit jauh di atas kemampuannya. (9) Selain itu, ada masalah serius menanamkan kultur baru menjalankan protokol kesehatan. (10) Pemerintah sudah melakukan beberapa upaya sosialisasi. (11) Namun, jelas bahwa banyak masyarakat belum menjalankan protokol kesehatan dengan baik karena berbagai alasan, misalnya pemahaman, penanaman kedisiplinan, ataupun fasilitas yang tidak dimiliki.
(12) Di pihak lain, organisasi kemasyarakatan bergerak sendiri untuk mengatasi masalah. (13) Organisasi kemasyarakatan melakukan upaya pencegahan penularan di komunitasnya, melakukan program bantuan sosial, atau menjadi jembatan ekonomi bagi pelaku ekonomi kecil. (14) Sebagian melakukan upaya berskala cukup luas dan melibatkan dana yang cukup besar. (15) Namun, sebagian besar bentuknya sangat terbatas. (16) Menjadi kekhawatiran, berapa lama upaya mereka dapat berlangsung.
Pernyataan yang tepat pada teks di atas adalah ….
A. Masyarakat menjalankan protokol kesehatan dengan baik
B. Indonesia seimbang antara pencegahan pandemi dan menjaga aktivitas ekonomi
C. Program bantuan uang menjadi jembatan ekonomi bagi pelaku ekonomi menengah
D. Organisasi kemasyarakatan bersifat mandiri dalam mengatasi masalah
E. Di beberapa media nasional, Indonesia masuk negara sebagai ledakan pandemi baru
Jawaban dan Pembahasan:
Jawaban: D
Soal di atas berkaitan dengan materi Pemahaman Wacana
Pernyataan yang tepat pada teks di atas terdapat pada pernyataan kalimat (12) “Di pihak lain, organisasi kemasyarakatan bergerak sendiri untuk mengatasi masalah”. Pada pilihan yaitu pernyataan D. Sementara, pernyataan lainnya tidak terdapat pada teks di atas.
Masyarakat sebenarnya belum menjalankan protokol kesehatan secara baik dengan berbagai alasan, Indonesia juga masih mencari keseimbangan antara pencegahan pandemi dan menjaga kestabilan ekonomi, program bantuan dari pemerintah diperuntukkan bagi pelaku ekonomi kecil, serta di beberapa media asing dikhawatrikan Indonesia masuk negara sebagai ledakan pandemi baru.
Soal 2
Sebuah seri : 3, 6, 15, 42, …
A. 120
B. 123
C. 150
D. 152
E. 153
Jawaban dan Pembahasan:
Jawaban: B
Soal di atas berkaitan dengan materi Barisan Bilangan
Barisan bertingkat 2.
Barisan pertama:
3 + 3 = 6, 6 + 9 = 15, 15 + 27 = 42, 42 + 81 = 123
Barisan kedua:
3 × 3 = 9, 9 × 3 = 27, 27 × 3 = 81
Soal 3
(1) Keseriusan pemerintah dalam memajukan pendidikan Indonesia ditunjukkan dengan memfasilitasi sistem pendidikan yang baik dan setinggi-tingginya untuk mencetak banyak cendekiawan. (2) Namun, data dari Tim Nasional Percepatan Penanggulangan Kemiskinan (TNP2K) tahun 2019 menunjukkan sebanyak 4.586.332 anak yang mengalami putus sekolah di 34 provinsi di Indonesia. (3) Data tersebut menunjukkan keberhasilan program bagi seluruh anak Indonesia wajib mengenyam pendidikan formal selama 12 tahun masih jauh dari harapan. (4) Banyaknya kasus putus sekolah karena faktor ekonomi membuat pemerintah mengambil upaya untuk memberikan beasiswa pendidikan. (5) Berbagai inovasi pun diluncurkan, mulai dari sistem penerimaan peserta didik baru hingga sistem pembelajaran yang lebih diarahkan menuju digitalisasi. (6) Namun, hal yang paling krusial sebenarnya adalah pemerataan infrastruktur pendidikan di tiap daerah.
(7) Sejak tahun 1974, pemerintah telah berusaha serius untuk meratakan kualitas pendidikan di Indonesia, terutama di daerah terpencil yang dihuni sekitar 38,4 juta atau 17,6 persen dari total penduduk. (8) Namun nyatanya, kondisi pendidikan di Indonesia masih jauh dari kata “merata” hingga kini. (9) Sarana prasarana pendidikan di kota-kota besar sudah sangat maju, berbanding terbalik dengan kondisi di desa-desa yang hanya seadanya bahkan jauh dari standar. (10) Maka, sudah semestinya pemerintah lebih gencar dalam meningkatkan daya tampung sekolah dan meratakan kualitas sekolah di seluruh wilayah Indonesia. (11) Sebab sebagus apapun sistem yang diterapkan, tidak akan bermanfaat maksimal jika masih ada yang tidak dapat mengecap kualitas yang sama.
Sumber: Opini berita
Berdasarkan paragraf satu, hal yang paling krusial untuk pendidikan Indonesia adalah ….
A. Siswa belum memahami penggunaan teknologi dalam pendidikan
B. Sarana dan prasarana pendidikan di desa-desa terpencil
C. Pendidikan di kota-kota besar yang mempuni
D. Pemerataan infrastruktur pendidikan di tiap daerah
E. Kualitas pendidikan yang masih kurang tiap daerah
TPS: Pembahasan: Kemampuan Memahami Bacaan dan Menulis (KMBM)
Soal 1
(1) Kuliner punya banyak pilihan untuk memanjakan lidah. (2) Bandung merupakan kawasan metropolitan di Jawa Barat. (3) Baik kota dan kabupatennya selalu jadi destinasi favorit wisatawan. (4) Kuliner Bandung merupakan wisata yang tak boleh terlewat saat singgah di Kota Kembang ini. (5) Kuliner terdiri dari beragam jenis makanan mulai makanan berat, camilan, hingga oleh-oleh yang bisa dibawa pulang. (6) Kuliner Bandung merupakan pilihan terbaik untuk menikmati masakan khas Sunda. (7) Kuliner Bandung sangat mudah ditemukan di sepanjang kota. (8) Aneka kuliner Bandung ini punya cita rasa kaya yang begitu memanjakan lidah.
Sumber: detik.com
Ciri yang paling terlihat pada teks di atas adalah ….
A. Menggunakan pengulangan kata
B. Menggunakan konjungsi antar kalimat
C. Bertemakan laporan perjalanan
D. Menggunakan kata tugas
E. Merupakan teks argumentasi
Jawaban dan Pembahasan:
Jawaban: A
Soal di atas berkaitan dengan materi Sintaksis
Ciri yang tepat pada teks dia atas yaitu menggunakan pengulangan kata pada kalimat. Pengulangan kata tersebut yaitu “Kuliner Bandung”. Sementara, pada teks di atas tidak menggunakan konjungsi antarkalimat hanya menggunakan konjungsi intrakalimat, bukan teks yang menceritakan laporan observasi perjalanan, menggunakan kata tugas yang hanya sedikit, serta bukan merupakan teks argumentasi atau pendapat. Jadi, jawaban yang tepat adalah A.
Soal 2
(1) Pertarungan memperebutkan kursi nomor 1 di Amerika Serikat telah dimenangkan oleh Joe Biden, kini Trump nampaknya harus menelan pil pahit dari pernyataannya saat kampanye yang menyatakan akan pindah negara jika kalah dalam pemilihan. (2) Joe Biden berhasil mengukir sejarah kemenangan dalam Pemilihan Presiden (Pilpres) Amerika Serikat 2020 ke-59 setelah berhasil mengalahkan Donald Trump. (3) Ia dan wakilnya, Kamala Harris mengakhiri pertarungan dengan pertahana, Donald Trump setelah memastikan kemenangan terakhir setelah negara bagian Pennsylvania melaporkan hasil pemilihan mereka. (4) Pada Sabtu, 7 November 2020, dengan merebut suara elektoral Pennsylvania, Biden-Harris memperoleh total 284 suara elektoral (264 tambah 20 suara elektoral milik Pennsylvania).
(5) Seperti diketahui Amerika Serikat menganut sistem suara elektoral, dimana jika seorang kandidat berhasil mengumpulkan total 270 electoral college votes atau suara elektoral, dia menjadi pemenangnya tanpa melihat total perolehan suara. (6) Sumbangan dari Pennsylvania ini telah memastikan kemenangan calon dari Partai Demokrat tersebut dalam Pemilihan Presiden Ke-59 Amerika Serikat tahun 2020. (7) Kemenangan Biden ini nampaknya menjadi tamparan keras bagi suami Meliana sebab Donald Trump sebelumnya pernah menyatakan akan pindah negara jika kalah dalam Pemilu AS.
Sumber: fixindonesia.pikiran-rakyat
Kata “memperebutkan” pada kalimat (1) merupakan proses morfologi, yaitu ….
A. mem-rebut-an
B. mem-per-rebut-kan
C. mem-perebut-kan
D. memper-rebut-kan
E. memper-rebut-an
Jawaban dan Pembahasan:
Soal di atas berkaitan dengan materi Morfologi
Kata “memperebutkan” merupakan bentuk morfologi yaitu konfiks. Artinya afiks tunggal yang terdiri dari dua unsur yang terpisah. Untuk kata “memperebutkan” berasal dari konfiks memper-kan. Maka, apabila dijabarkan menjadi memper-rebut-kan. Jadi, jawaban yang tepat adalah D.
Soal 3
Berikut ini penulisan yang benar adalah….
A. Sigra disebut lebih “mancung” alias bertambah panjang 40 mm menjadi 4070 mm. Sementara lebar dan tingginya tetap, yakni 1655 mm serta 1600 mm.
B. Sigra disebut lebih “mancung” alias bertambah panjang 40 milimeter menjadi 4,070 milimeter. Sementara lebar dan tingginya tetap, yakni 1.655 milimeter serta 1.600 milimeter.
C. Sigra disebut lebih “mancung” alias bertambah panjang 40 mm, menjadi 4.070 mm. Sementara lebar dan tingginya tetap, yakni 1.655 mm, serta 1.600 mm.
D. Sigra disebut lebih “mancung” alias bertambah panjang 40 mm menjadi 4.070 mm. Sementara lebar dan tingginya tetap, yakni 1.655 mm serta 1.600 mm.
E. Sigra disebut lebih “mancung” alias bertambah panjang 40 mm menjadi 4,070 mm. Sementara lebar dan tingginya tetap, yakni 1.655 mm serta 1,600 mm.
Jawaban dan Pembahasan:
Jawaban: D
Soal di atas berkaitan dengan materi PUEBI
Berdasarkan PUEBI, penulisan bilangan ribuan atau kelipatan yang menunjukkan jumlah dipisahkan dengan menggunakan tanda titik (.). Adapun penulisan lambang kimia, singkatan satuan ukuran, takaran, dan timbangan mata uang tidak perlu diikuti tanda titik. Penggunaan ketentuan ini paling tepat dipakai pada pilihan D.
TPS: Pembahasan: Pengetahuan dan Pemahaman Umum (PPU)
Soal 1
(1) Pada 1 April 1905, Raja Rama V atau dikenal pula Raja Chulalongkorn mengesahkan penghapusan perbudakan dan kerja paksa yang sudah dipraktikkan sejak masa Raja Ramathibodi II (1518). (2) Ia juga menyatakan bahwa semua orang Siam yang lahir ketika ia berkuasa (1868-1910) adalah orang merdeka. (3) Tanggal 1 April kemudian diperingati sebagai Hari Penghapusan Perbudakan di Thailand. (4) Pada 1874, ia memberlakukan aturan yang menurunkan harga penebusan budak. (5) Antonio L. Rappa dalam “The King and the Making of Modern Thailand” menyebut langkah Rama menjadi satu kemajuan untuk penghapusan perbudakan.
(6) Di beberapa negara, semisal Inggris Raya, aturan tentang pembatasan perbudakan dikeluarkan pada 1807 atas usulan William Wilberforce, anggota House of Commons. (7) Inggris akhirnya mengeluarkan undang-undang penghapusan perbudakan pada 1833. (8) Amerika Serikat mengikuti menghapus perbudakan dengan amandemen ke-13 konstitusi AS pada 1865. (9) Di Indonesia, usaha penghapusan perbudakan dimulai sejak masa VOC. (10) Kala itu, banyak orang-orang kaya memelihara budak, baik orang Eropa, Tionghoa, maupun bumiputra kaya.
(11) De Graaff secara khusus menyoroti perilaku orang-orang Belanda pada budak mereka sebagai sebuah kecongkakan yang memuakkan. (12) Hal itu umum, terlihat antara lain saat para perempuan Belanda pergi ke gereja. (13) Mereka pergi dengan rombongan budak laki-laki dan perempuan untuk melayaninya. (14) Ada budak yang bertugas untuk memayungi, membawakan kitab, dan kotak sirih. (15) Mereka dilayani laiknya putri raja.(16) Bila si budak tidak memuaskan majikannya, hukuman penyiksaan sebagai ganjaran lumrah terjadi. (17) Ada budak yang dipukuli, dicambuk, disiram air panas, atau dipaksa bekerja tanpa istirahat hingga putus asa dan memilih bunuh diri. (18) Ada juga budak yang mengamuk dan balik menyerang majikannya.
(19) Dengan banyaknya kasus kekerasan antara majikan dan budak sepanjang abad ke-17, penguasa Belanda mulai ikut campur dalam kasus perbudakan pada abad ke-18. (20) Jika ada budak yang dibunuh oleh majikannya, budak yang memiliki hubungan dengan korban harus dipindahtangankan. (21) Aturan ini barang kali untuk melindungi majikan agar terhindar dari balas dendam. (22) Meski demikian, menurut Jean Gelman Taylor dalam Kehidupan Sosial di Batavia, pada akhirnya penguasa Belanda mulai serius memikirkan nasib budak.
Sumber: Historia.id, dengan perubahan
Pola pengembangan paragraf ketiga teks di atas adalah ….
A. Definisi
B. Kronologi
C. Analogi
D. Contoh
E. Perbandingan
Jawaban dan Pembahasan:
Jawaban: D
Soal di atas berkaitan dengan materi Pola Pengembangan Paragraf
Paragraf dengan pola pengembangan analogi biasanya membandingkan hal atau peristiwa yang satu dengan yang lainnya.
Pola pengembangan defenisi biasanya dilakukan dengan menguraikan sesuatu dalam beberapa kalimat, kemudian diberi batasan untuk memberi pemaparan yang jelas mengenai sesuatu.
Apabila sebuah paragraf dikembangkan dalam pola kronologi, maka akan dapat ditemukan susunan berupa urutan waktu kejadian.
Pola pengembangan perbandingan dilakukan dengan mengungkapkan persamaan atau perbedaan dua hal.
Terakhir, pola pengembangan contoh adalah paragraf yang dikembangkan dengan memberikan pernyataan yang berupa contoh-contoh dalam kalimatnya.
Berdasarkan beberapa pemaparan mengenai pola pengembangan paragraf ini, pola pengembangan yang dipakai oleh paragraf ketiga teks di atas adalah contoh. Paragraf ketiga memberi tahu pembaca bahwa ada beragam perilaku Belanda pada budaknya. Contoh ini diberikan pada kalimat (12), (14), (17), dan (18).
Soal 2
(1) Ikatan Dokter Indonesia mendukung pelayanan kesehatan via online yang dikenal dengan sebutan telemedicine di tengah terus melonjaknya kasus Covid-19 di negeri ini. (2) Berbagai start up seperti Halodoc dan Alodokter, baru-baru ini melaporkan kenaikan jumlah user dan traffic dibandingkan sebelum pandemi karena layanan telemedicine yang mereka tawarkan. (3) Telemedicine mencakup banyak bidang dalam sistem kesehatan, seperti pemberian konsultasi antartenaga kesehatan, pasien, dan dokter (telekonsultasi); pemberian resep dan obat (telefarmasi); layanan rujukan pasien melalui Sistem Informasi Rujukan Terintegrasi Nasional (SISRUTE)milik ementerian Kesehatan.
(4) Selain bisa memberikan pelayanan yang cepat pada pasien dan menyediakan beragam informasi kesehatan, dengan telemedicine dokter dapat mencegah terbentuknya mata rantai penularan Covid-19. (5) Dengan tiadanya pertemuan fisik dokter-pasien akan mencegah kerumunan orang di klinik, pusat kesehatan masyarakat (Puskesmas), dan rumah sakit. (6) Layanan ini juga sesuai dengan upaya mencegah penyebaran virus corona dengan cara beraktivitas di rumah. (7) Namun, beberapa regulasi yang mengatur telemedicine belum mencukupi dan kurang detail sehingga masih timbul berbagai kebingungan di lapangan. (8) Setidaknya, minimal ada tiga hal yang perlu diperhatikan untuk mengoptimalkan fungsi telemedicine.
(9) Pertama, Kementerian Kesehatan perlu merumuskan aturan berikutnya dengan lebih detail. (10) Banyak hal yang saat ini masih bersifat “abu-abu” atau belum cukup jelas dalam praktik telemedicine. (11) Misalnya, terkait persyaratan legal dokter dan dokter gigi untuk keperluan praktik, peresepan berbagai jenis obat, dan perlindungan bagi tenaga medis yang melakukan pelayanan secara online. (12) Layanan telekonsultasi dan telefarmasi via aplikasi antara pasien dan dokter juga masih “abu-abu”.
(13) Kedua, perlu kewaspadaan ekstra dalam mengelola data transaksi kesehatan. (13) Rumah sakit, klinik, pengelola aplikasi telemedicine dan Kementerian Kesehatan harus memastikan sistem keamanan platform-nya agar informasi tersebut tidak bocor. (14) Semakin banyaknya fasilitas kesehatan dan masyarakat yang memanfaatkan sistem telemedicine, maka akan memunculkan suatu big data baru. (15) Data yang sangat luar biasa sekali banyaknya ini wajib dijaga kerahasiaannya dalam bentuk rekam medis elektronik.
(16) Ketiga, pemerintah perlu memanfaatkan big data untuk mendukung perbaikan layanan sistem kesehatan baik untuk pencegahan, promosi, maupun pengobatan pasien. (17) Contohnya, pelaksanaan dan pelaporan Riset Kesehatan Dasar (Riskesdas) rutin diterbitkan oleh Kementerian Kesehatan. (18) Dalam publikasi ke depan, mungkin perlu dipertimbangkan tambahan data mengenai pemanfaatan telemedicine oleh fasilitas kesehatan dan masyarakat atau seberapa besar pengaruh telemedicine terhadap tingkat kesehatan pada populasi. (19) Hal ini dapat memperkaya data riset kesehatan di Indonesia serta bisa menjadi dasar pengambilan keputusan selanjutnya.
Sumber: The Conversation, dengan perubahan
Teks di atas membahas tentang ….
A. Dukungan terhadap telemedicine
B. Pemanfaatan pelayanan telemedicine
C. Fungsi pelayanan telemedicine
D. Kekurangan pelayanan telemedicine
E. Dukungan kepada pelayan telemedicine
Jawaban dan Pembahasan:
Jawaban: B
Soal di atas berkaitan dengan materi Wacana
Teks di atas berbicara mengenai pemanfaatan pelayanan kesehatan online atau yang disebut dengan telemedicine. Paragraf pertama teks di atas memaparkannya dengan jelas melalui kalimat (1) yang kemudian dilanjutkan dengan memaparkan beberapa hal yang terkait dengan telemedicine. Pada paragraf kedua, dipaparkan sedikit mengenai manfaat pelayanan telemedicine. Kemudian diikuti dengan beberapa hal yang menghambat pengoptimalan telemedicine. Pada paragraf ketiga hingga kelima, semua memaparkan hal yang perlu diperhatikan dalam telemedicine.
TPS: Pengetahuan Kuantitatif (PK)
Soal 1
Diketahui sistem persamaan linear:
a + 2b = x
6a + 10b = y
Nilai a = …
A. 5x + y
B. x + 5y
C. x – 5y
D. y – 5x
E. 5y – x
Jawaban dan Pembahasan:
Jawaban: D
Soal di atas berkaitan dengan materi Persamaan Linear
a + 2b = x
6a + 10b = y
Kalikan persamaan pertama dengan 5
5a + 10b = 5x
6a + 10b = y
Eliminasi kedua persamaan di atas sehingga diperoleh
-a = 5x – y
a = -5x + y
a = y – 5x
Soal 2
Diketahui barisan aritmatika dengan
U2+U6=70U5+U9=100𝑈2+𝑈6=70𝑈5+𝑈9=100
Berapa suku keempat barisan tersebut?
A. 35
B. 45
C. 50
D. 65
E. 80
Jawaban dan Pemabahasan:
Jawaban: A
Soal di atas berkaitan dengan materi Barisan Aritmatika
U2+U6 =a+b+a+5b
=2a+6b
U5+U9 =a+4b+a+8b
=2a+12b
Sehingga
2a+6b=70
2a+12b=100
Eliminasi persamaan di atas diperoleh b = 5.
2a+6(5)=70
2𝑎=70−30
𝑎=20
Jadi suku keempat
U4=a+3b=20+3(5)=35
Soal SNBT Tes Literasi
Pada Tes Literasi terdapat 3 subtes yaitu, Tes Literasi dalam Bahasa Indonesia, Tes Literasi dalam Bahasa Inggris, dan Penalaran Matematika.
Tes Literasi dalam Bahasa Inggris
Soal 1
The following passage is for questions number 1-5!
A The world is in an “era of pandemics” and unless the destruction of the natural world is halted they will emerge more often, spread more rapidly, kill more people and affect the global economy with more devastating impact than ever before, according to a report from some of the world’s leading scientists. The emergence of diseases such as Covid-19, bird flu, and HIV from animals was entirely driven by the razing of wild places for farming and the trade-in wild species, which brought people into contact with the dangerous microbes, the experts said.
B “The risk of pandemics is increasing rapidly, with more than five new diseases emerging in people every year, any one of which has the potential to become pandemic,” the report says. It estimates there are more than 500,000 unknown viruses in mammals and birds that could infect humans. The current approach to disease outbreaks is trying to contain them and develop treatments or vaccines, which the scientists say is a “slow and uncertain path”. Instead, the root causes must be tackled, including stopping the demolition of forests to produce meat, palm oil, metals, and other commodities for richer countries.
C The costs of such a transformative change would be “trivial”, the experts found, compared with the trillions of dollars of damage caused by the coronavirus pandemic alone. Their proposed solutions include a global surveillance network, taxing damaging meat production, and ending taxpayer subsidies that ravage the natural world. “There is no great mystery about the cause of the Covid-19 pandemic, or of any modern pandemic,” said Peter Daszak, the chair of the group convened by the Intergovernmental Science-Policy Platform on Biodiversity and Ecosystem Services, (Ipbes) to produce the report. “The same human activities that drive climate change and biodiversity loss also drive pandemic risk through their impacts on our environment.”
D “We’re seeing pandemics every 20-30 years,” said Daszak, who is also the president of EcoHealth Alliance, and they were getting more frequent and damaging. “We can escape the era of pandemics, but this requires a much greater focus on prevention, in addition to reaction.” Since the coronavirus pandemic began, the UN, World Health Organization, and others have warned that the world must tackle the cause of these outbreaks and not just the health and economic symptoms. In June, leading experts called the pandemic an “SOS signal for the human enterprise”, but little government action has been taken.
E The report was produced by 22 experts in fields including zoology, public health, economics, and law, and representing every continent. It cites more than 600 studies, a third of which were published since 2019. “It’s really state of the art in terms of its scientific basis,” said Anne Larigauderie, the executive secretary of Ipbes. The report says the rise in emerging diseases is driven by “the recent exponential rise in consumption and trade, driven by demand in developed countries and emerging economies, as well as by [rising population] pressure”.
The suitable title for this report is…
A. A project of scientists to tackle the pandemic issues
B. Protecting nature is vital to escape the era of pandemics
C. The increment of disease numbers due to human activities
D. A signal for human enterprise
E. A report of intergovernmental organizations for health and economic symptoms
Jawaban dan Pembahasan:
Jawaban: B
Soal di atas berkaitan dengan materi Main Idea
Judul yang sesuai untuk laporan ini yaitu …
A. Sebuah proyek dari peneliti-peneliti untuk mengatasi masalah-masalah pandemi
B. Melindungi alam sangat penting untuk menghindari era pandemi
C. Meningkatnya jumlah penyakit akibat aktivitas manusia
D. Sebuah sinyal untuk usaha manusia
E. Sebuah laporan organisasi antar pemerintah untuk gejala kesehatan dan ekonomi
Untuk menjawab pertanyaan dari bentuk teks yang panjang seperti ini, kita dapat melakukan dua teknik membaca yaitu skimming dan scanning. Pertama sekali kita melakukan skimming yang di mana kita membaca sekilas dengan cepat untuk menemukan ide/ gagasan isi dari bacaan. Setelah itu, kita mengacu kepada pilihan/ opsi jawaban dari soal pertanyaan. Di tahap ini kita harus menggaris bawahi keyword / kata kunci yang penting dari setiap opsi jawaban agar dapat memudahkan kita dalam melakukan teknik scanning. Setelah itu, kita menyimpulkan maksud dari bacaan/ laporan tersebut untuk menemukan judul yang sesuai dengan pilihan di jawaban.
Berdasarkan dari laporan tersebut dapat disimpulkan bahwa judul yang tepat untuk laporan ini yaitu “Melindungi alam sangat penting untuk menghindari era pandemi.” Hal ini dapat diketahui berdasarkan paragraf A yang menjelaskan bahwa: “Dunia saat ini berada di era pandemi yang di mana penyakit-penyakit akan lebih sering muncul dan menyebar dengan lebih cepat, membunuh lebih banyak orang, dan bahkan memengaruhi ekonomi secara global dengan dampak yang lebih dahsyat dari sebelumnya. Munculnya penyakit-penyakit seperti Covid-19, flu burung dan HIV berasal dari hewan yang sepenuhnya didorong oleh perusakan alam liar yang digunakan untuk kegiatan pertanian dan perdagangan spesies liar. Akibatnya semakin banyak orang bersentuhan dengan mikroba berbahaya. Oleh karena ini, maksud dari penjelasan paragraf ini yaitu kehancuran akibat era pandemi ini dapat dihentikan dengan cara melindungi kerusakan alam.
Paragraf-paragraf selanjutnya dapat dikatakan paragraf pendukung yang lebih menjelaskan ancaman pandemi, dampak ke depannya hingga penjelasan laporan/ proyek mengenai peringatan dan tanggapan dari organisasi PBB (WHO) yang mengikut sertakan penelitian parah ahli-ahli dari berbagai bidang terkait kemunculan pandemi di negara-negara berkembang (developed countries).
Maka opsi jawaban yang tepat yaitu opsi B.
Soal 2
In almost every developing country, the lack of adequate supplies of cheap, convenient, and reliable fuel is a major problem. Rural commodities depend largely on kerosene, wood, and dung for their cooking and lighting needs, but kerosene is now priced out of reach of many people and wood, except in heavily forested areas, is in short supply. The search for firewood occupies a large part of working day and has resulted in widespread deforestation.
Dung is in constant supply wherever there are farm animals and when dried, it is convenient to store and use. But burning dung destroys its value as fertilizer, thus depriving the soil of a much-needed source of humus and nitrogen. Rural areas of developing countries are also plagued by a lack of adequate sanitation. Improper waste disposal spreads disease, contaminates water sources and provides feeding grounds for disease carrying insects.
The problem of improving environmental hygiene, conserving sources, and finding alternative source of fuel may be unrelated. Their solution, however, are not, as many countries experimenting with biogas technology are discovering. Biogas, a mixture of methane and carbon dioxide, is produced by anaerobic fermentation is a natural one. Occurring whenever living matter decomposes. By keeping the matter and the process in a digester or biogas plan, the combustible gas can be trapped and used as fuel for household lighting and cooking. The digested slurry that remains can be used on the land as a soil conditioner and fertilizer.
One of the drawbacks mentioned by the passage about the traditional fuel used in developing countries is that …
A. It will reduce people’s energy
B. It is hard to use
C. It damages the environment
D. It has a high price
E. It makes the soil poor
Jawaban dan Pembahasan:
Jawaban: C
Soal di atas berkaitan dengan materi Inference
Salah satu kekurangan yang disebutkan oleh bagian tentang bahan bakar tradisional yang digunakan di negara berkembang adalah bahwa…
a. Ini akan mengurangi energi masyarakat
b. Sulit digunakan
c. Itu merusak lingkungan
d. Harganya mahal
e. Itu membuat tanah menjadi rusak
Perhatikan paragraf pertama: “In almost every developing country, the lack of adequate supplies of cheap, convenient, and reliable fuel is a major problem. Rural commodities depend largely on kerosene, wood, and dung for their cooking and lighting needs, but kerosene is now priced out of reach of many people and wood, except in heavily forested areas, is in short supply. The search for firewood occupies a large part of working day and has resulted in widespread deforestation.” (Di hampir setiap negara berkembang, kurangnya pasokan bahan bakar yang murah, nyaman, dan dapat diandalkan yang memadai merupakan masalah utama. Komoditas pedesaan sangat bergantung pada minyak tanah, kayu, dan kotoran untuk kebutuhan memasak dan penerangan mereka, tetapi harga minyak tanah sekarang di luar jangkauan banyak orang dan kayu, kecuali di daerah berhutan lebat, kekurangan pasokan. Pencarian kayu bakar menghabiskan sebagian besar hari kerja dan mengakibatkan deforestasi yang meluas.)
Maka, dapat disimpulkan bahwa penggunaan bahan bakar tradisional (menggunakan kayu) dapat merusak lingkungan karena menyebabkan penggundulan hutan dimana-mana. Maka, jawaban yang paling tepat adalah opsi C.
Tes Literasi dalam Bahasa Indonesia
Soal 1
(1) Dalam 24 bulan pertamanya, si Kecil akan mengalami pertumbuhan yang pesat dan krusial. (2) Mama dapat mendukung semua tahap perkembangannya, baik perkembangan fisik, kecerdasan, maupun perkembangan psikologis. (3) Di usia ini, si Kecil akan lebih memahami tubuhnya dengan bergerak dan bermain. (4) Karena itu, Mama hanya perlu memberikan si Kecil benda atau mainan yang ada di rumah untuk menstimulasi kemampuannya. (5) Mainan dengan musik akan selalu menarik perhatiannya. (6) Letakkan mainan di berbagai titik di dalam ruangan dan nyalakan musiknya. (7) Setelah itu, tanya si Kecil dari mana suara musik itu berasal. (8) Jika si Kecil bergerak mencari sumber suara, pindahkan mainan tersebut ke titik lainnya dan tanyakan lagi pada si Kecil. (9) Bila si Kecil dapat merangkak, letakkan mainan di tempat yang bisa ia jangkau. (10) Kegiatan ini baik untuk membantu pemahaman hubungan sebab-akibat dan kesadarannya terhadap ruang dan tempat. (11) (12) Mama juga dapat mengajaknya bermain menggunakan boneka. (13) Saat Mama menyembunyikan boneka di belakang punggung, apakah si Kecil akan mencarinya? Cobalah “menyembunyikan” boneka di atas kepalanya, di belakang punggungnya, di bawah bantal, lalu keluarkan dan pura-puralah mengobrol dengan boneka tersebut. (14) Kemudian, beri si Kecil boneka tersebut untuk ia mainkan sendiri. (15) Terus ulangi permainan ini sampai ia berhasil menirukan Mama. (16) Permainan ini juga baik untuk perkembangan saraf si Kecil. (17) Untuk meningkatkan kemampuan mendaki si Kecil, buatlah tempat khusus untuk si Kecil mendaki dengan meletakkan tumpukan bantal secara bertahap (dua bantal di awal, tambahkan di hari selanjutnya). (18) Letakkan salah satu mainan favorit si Kecil di “puncak” agar ia tertarik untuk mendaki. (19) Permainan ini meningkatkan perkembangan kemampuan motorik dasar si Kecil, yang nantinya dapat membantu kemampuan berjalannya.
Manfaat meletakkan mainan si Kecil di “Puncak” adalah ….
A. Meningkatkan kecepatan dan ketepatan
B. Meningkatkan perkembangan psikologis
C. Meningkatkan perkembangan fisik secara sempurna
D. Meningkatkan kecerdasan otak
E. Meningkatkan kemampuan motorik dasar
Jawaban dan Pembahasan:
Jawaban: E
Soal di atas berkaitan dengan materi Pemahaman Wacana
Menurut teks di atas, mainan yang diletakkan di “Puncak” nantinya akan mendorong si Kecil untuk berusaha mendaki, hal itu bermanfaat untuk meningkatkan perkembangan kemampuan motorik dasar si Kecil, kemudian dapat membantu kemampuan berjalannya. Jadi, jawaban yang tepat adalah E.
Soal 2
(1) Pihak berwenang kesehatan Spanyol akan memperketat batasan selama minggu Paskah mendatang, untuk mencegah lonjakan penularan virus corona baru. (2) Menteri Kesehatan Spanyol Carolina Darias mengatakan antara 26 Maret-9 April perjalanan antar wilayah semenanjung Spanyol akan dilarang. (3) Pertemuan-pertemuan akan dibatasi untuk empat orang di ruang tertutup dan enam orang di ruang terbuka, dan jam malam yang sudah diberlakukan harus dimulai pada pukul 23:00 dari yang sekarang pada tengah malam. (4) Pembatasan yang sama akan berlaku di tujuh wilayah, termasuk Madrid tengah, mulai 17 sampai 21 Maret untuk perayaan festival San José. (5) Wilayah Madrid, kata Darias, adalah satu-satunya yang menentang peraturan ini. (6) Warga melayangkan protes karena mengganggu ketertiban umum.
(Sumber: VOAIndonesia, dengan perubahan)
Kalimat tidak efektif pada teks terdapat pada kalimat ….
A. (4)
B. (5)
C. (6)
D. (3)
E. (2)
Jawaban dan Pembahasan:
Jawaban: C
Soal berhubungan dengan materi Kalimat Efektif
Kalimat (6) tidak efektif karena tidak sesuai dengan konteks yang disajikan oleh teks, yaitu tentang pembatasan yang akan dilakukan pemerintahan saat minggu Paskah. Jadi, pilihan jawaban yang tepat adalah C.
Penalaran Matematika
Soal 1
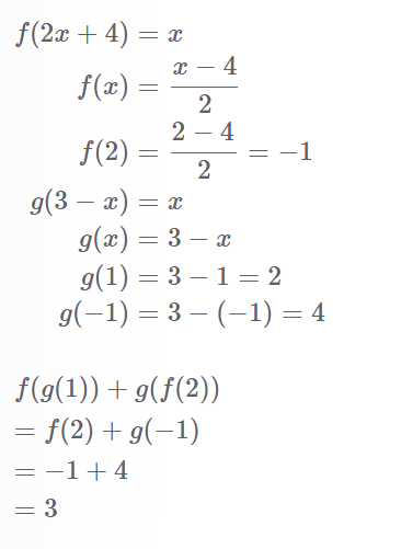
Jika f(2x+4) = x dan g(3-x) = x, maka nilai f(g(1)) + g(f(2)) sama dengan ….
A. 6
B. 4
C. 2
D. 3
E. 5
Jawaban dan Pembahasan:
Jawaban: D
Soal di atas berkaitan dengan materi Komposisi Fungsi

Soal 2
Perhatikan kurva y = ax + bx2 dengan a dan b konstan. Jika garis singgung kurva ini pada titik (1,0) sejajar dengan garis 2x – y + 3 = 0, maka a + 3b sama dengan ….
A. 8
B. 4
C. 2
D. -2
E. 6
Jawaban dan Pembahasan:
Jawaban: B
Soal di atas berkaitan dengan materi Persamaan Garis Singgung
Kurva melalui (1, 0)
y=ax+bx2𝑦=𝑎𝑥+𝑏𝑥2
0 = a + b …. (1)
2x−y+3=0⇒m=22𝑥−𝑦+3=0⇒𝑚=2
Karena sejajar m1=m2=2𝑚1=𝑚2=2
y’ = a + 2bx
m = y’(1) = 2 = a + 2b … (2)
Dari persamaan (1) dan (2)
a + b = 0
a + 2b = 2
b = 2 dan a = -2
Jadi, nilai a + 3b = -2 + 3(2) = 4.
Demikian beberapa contoh soal snbt tahun 2024 yang terdiri dari soal tes potensi skolastik, tes literasi, dan penalaran matematika.
Belum diketahui tahun 2025 apakah ada perubahan atau tidak.

